Ficha 6 | Cálculo de Programas
Exercicio 1a
agora que temos o in e o out destes tipos, podemos fazer catas com eles se se lembrarem dos catas das naturais era basicamente um padrão em que tínhamos uma função para o caso de paragem, e outra para os outros casos nas listas é igual, só que a agora no paso recursivo temos mais info, o elemento da lista para aquecer, e relembrar a lei universal cata, vamos fazer a 1a sobre naturais lembrem-se da semana passada, podíamos definir um ciclo for à custa dum cata de naturais
aqui o que pede é para mostrar que for id i = for i̲ i
for id i = for i̲ i
≡ { def for }
⦇[i̲, id]⦈ = ⦇[i̲, i̲]⦈
≡ { universal-cata nats (43) }
⦇[i̲, id]⦈ . in = [i̲, i̲] . (id + ⦇[i̲, id]⦈)
≡ { absorção-+ (22), fusão-const (4) }
⦇[i̲, id]⦈ . in = [i̲, i̲]
≡ { cancelamento-cata nats (44) }
[i̲, id] . (id + ⦇[i̲, id]⦈) = [i̲, i̲]
≡ { absorção-+ (22) }
[i̲,⦇[i̲, id]⦈] = [i̲, i̲]
≡ { eq-+ (27) }
i̲ = i̲
⦇[i̲, id]⦈ = i̲ -- resposta à questão "o que são estes fors"
≡ { universal-cata nats (43) }
true
i̲ . in = [i̲, id] . (id + i̲)
≡ { fusão-const (4), absorção-+ (22) }
i̲ = [i̲,i̲]
≡ { ex 2, ficha 2 (ou provado através de universal-+) }
true
Exercicio 1b
vamos tentar definir alguns catas sobre listas
catas sobre listas, se se lembram de PF ou LI1, são foldrs funções recursivas que em cada passo aplicam uma certa função até chegar ao caso de paragem o cata dá-nos a estrutura toda de graça, só temos que definir aquilo que chamamos de gene se olharem para os diagramas do ex 1, é a seta g no fundo do diagrama
vamos começar por exemplo pela b.ii o reverse duma lista um catamorfismo atua sempre passo a passo na lista o passo recursivo vai ser pegar no elemento à cabeça, e pô-lo no fim da lista uma coisa que ajuda é fazer um diagrama que instancie o diagrama geral dos catas ou seja, substituir o B por algo concreto o tipo de saída do reverse é uma lista.

vai ficar algo deste género o cata que queremos definir é o reverse por isso substituem ⦇g⦈ por reverse e vão ver que no fim só temos que definir a seta de baixo o tal gene g
e ainda sabemos algo mais: que este gene é um either porque no passo recursivo ou recebemos uma lista vazia, ou um elemento e o resto da lista já reversed reparem que o tipo no canto inferior esquerdo
significa ou recebemos uma lista vazia ou recebemos um par com um elemento da lista e o resto da lista já invertida
sendo assim, como fazemos este either? o que vai do lado esquerdo? como invertemos a lista vazia?
lado esquerdo vai nil
gora do lado direito precisamos de algo do tipo g2 : A x A* -> A*
não precisa de ser pointfree
o pointfree é para quando queremos fazer contas, aqui só queremos dar uma definição
ou seja, podemos dizer que
g2 (a,l) = ...? em pointwise se calhar já não se lembram bem de haskell, mas isto seria algo tipo
g2 (a,l) = l ++ [a]
concatenar o elemento no fim da lista por isso podíamos definir o gene como
g = [nil,g2]
where g2 (a,l) = l ++ [a]
qual é a vantagem disto? é que só temos q pensar no gene g
e tudo o resto vem de graça tanto a execução do cata, como todas as propriedades algébricas que usamos para provar coisas tentem pensar no concat
façam o diagrama e sugiram soluções para o gene o concat : (A*)* -> A* pela numa lista de listas e transforma-se numa única lista se instanciarmos o diagrama dos catas temos…

parece manhoso, mas o que é que aconteceu aqui? o concat não funciona para listas de As genéricas, não é para A*
é especificamente para (A) por isso temos que tornar o tipo mais concreto
por isso todos os A* foram substituídos por (A) depois temos o tipo de saída, A*
por isso todos os Bs foram substituídos por A* tudo isto para termos o tipo do gene [g1,g2] : 1 + A* x A* -> A*
então, voltemos ao [g1,g2] : 1 + A* x A* -> A*
a entrada é ou uma lista vazia ou uma lista e o resultado de todas as outras já concatenadas
g1 = nil
(nil está definido no exercício como a função que devolve sempre [] )
outl [] = Left ()
outl l = Right (head l,tail l)inl :: Either () (a,[a]) -> [a]
inl = either (const []) conscatal g = g . (id -|- (id >< catal g)) . outl
Exercicio 2
o processo é o mesmo, só que agora temos que ter em consideração o padrão das árvores em vez de listas
se olharmos para leaf trees, como já vimos hoje
onde tínhamos 1 + A x A* para listas passamos a ter A + T x T para leaf trees
vamos começar pelo mirror, virar uma árvore ao contrário
tentem fazer o diagrama
comecem pelo tipo do mirror qual é?
recebe uma LTree e vira-a ao contrário
por isso mirror : LTree a -> LTree a, certo? o mirror é o nosso cata, por isso é a seta vertical do diagrama do lado esquerdo de seguida fazemos o in a apontar para lá, in : Tree a <- a + LTree a x LTree a

F f = id + f x f
então agora só falta o gene
[g1,g2] : A + LTree A x LTree A -> LTree A
o que será o g1 ? Leaf
e g2 ? g2 (l,r) = Fork (r,l)
atenção ao tipo do Fork , recebe par
por isso se desenharem o diagrama, vão acabar com um gene do tipo
[g1,g2] : A + LTree N x LTree N -> LTree N
então, se recebermos um valor A que veio duma folha..?
(o zeros mete uma árvore toda a zeros) Esse valor tem que ficar a zero certo? por isso g1 há de ser algo tipo Leaf . zero
como é que vemos isto tudo a funcionar?
definimos o out e o cata para LTrees…
outf (Leaf a) = Left a
outf (Fork (l,f)) = Right (l,f)cataf g = g . (id -|- (cataf g >< cataf g)) . outf
e agora podemos definir estas funções
zeros = cataf (either (Leaf . const 0) Fork)
mirror = cataf (either Leaf (Fork . swap))
e podem correr
*Main> zeros (Fork (Fork (Leaf 1,Leaf 2),Fork (Leaf 3,Leaf 4)))
Fork (Fork (Leaf 0,Leaf 0),Fork (Leaf 0,Leaf 0))
ou
*Main> mirror (Fork (Fork (Leaf 1,Leaf 2),Fork (Leaf 3,Leaf 4)))
Fork (Fork (Leaf 4,Leaf 3),Fork (Leaf 2,Leaf 1))
Exercicio 2d e 4
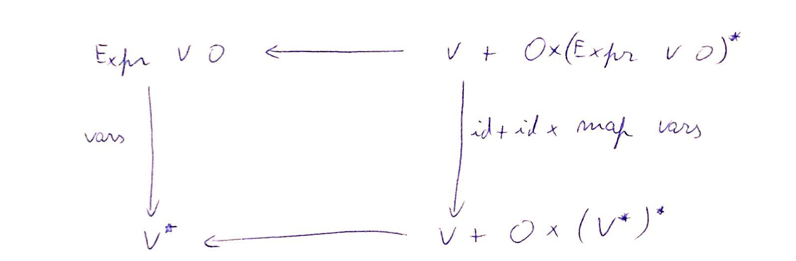
| Relembre árvores de expressão:data Expr v o = Var v | Op (o,[Expr v o]) |
T = Expr V O
F X = V + O x X*
F f = id + id x map f
Var: V -> Expr V OOp: O x (Expr V O)* -> Expr V Oin=[Var, Op]

qual o tipo do gene g?
g: V + O x (V*)* -> V*
g (i1 v) =?
g (i2 (o,llv)) = ?
g.i1 recebe uma variável e tem de a transformar numa lista.
g.i2 recebe um par (o,llv) em que o é um valor do tipo O e llv é um valor do tipo lista de listas de variáveis (uma lista de variáveis por cada subexpressão - note que (V) é o resultado do map vars aplicado a um valor do tipo (Expr V O)*).
Nós queremos pegar apenas na 2.a componente do par e transformar a lista de listas de variáveis numa lista de variáveis.
sugestões para g?
g: V + O x (V*)* -> V*g (i1 v) = [v]
g (i2 (o,llv)) = concat llv
e em pointfree?
g=[singl, concat.p2]parasingl:: a -> [a]
singl x =[x]
Então
vars=(| [singl, concat.p2] |)
<=> {43}
vars.in=[singl, concat.p2].(id + id x map vars)
<=> {def in, 20, 22,1}
[vars.Var,vars.Op]=[singl,concat.p2.(id x map vars)]
<=>{27, 13}
vars.Var = singl
vars.Op=concat.(map vars).p2
<=> { 69,70}
vars (Var v) = singl v
vars (Op (o,le)) = concat ((map vars) (p2 (o,le)))
<=> {def. singl, 77}
vars (Var v) = [v]
vars (Op (o,le)) = concat (map vars le)
Exercicio 5
sumprod :: a -> [a] -> a (ignorando restrições de tipo)
sumprod a [ ] = 0
sumprod a (h : t) = a*h + sumprod a t
definida como o catamorfismo de listas:
sumprod a = (| [zero, add.((a*) x id)] |)zero _ = 0
add (x,y)=x+y
Queremos provar:
sumprod a = (a*).sum
usando fusão-cata (46)
(a*).sum = sumprod a
<=> {def. sum, def. sumprod a}
(a*).(| [zero, add] |)= (| [zero, add.((a*) x id)] |)
<= {46}
(a*). [zero, add]= [zero, add.((a*) x id)].(id + id x (a*))
<=> { 20, 22, 1}
[(a*).zero, (a*).add]=[zero,add.((a*) x id).(id x (a*))]
<=> { 27, 14}
(a*).zero=zero
(a*).add=add.((a*)x(a*))
<=> { 69}
(a*).zero x =zero x
(a*).add (y,z)=add.((a*)x(a*)) (y,z)
<=> {70, 75, def zero, def add}
a* 0 =0
a*(y+z)=a*y+a*z
<=>
true - prop. elemento absorvente da multiplicação
true - prop. distributividade da multiplicação em relação à adição
Exercicio 5 - Alternativa
Exercicio 5
O exercício 5, em particular, mostra-nos que a função sumprod pode ser optimizada de forma a não chamar tantas vezes a operação de multiplicação (a): notem que sumprod chama a operação (a) n-vezes em que n é o tamanho da lista.
Usando cálculo de programas, vamos converte-la numa função que chama (a*) apenas uma vez.
Para dar mais algumas intuições, notem que enquanto a função sumprod multiplica cada elemento da lista por ‘a’ e retorna o somatório destas multiplicações, a função sum (que é função a qual nós queremos chegar), soma primeiro todos os elementos da lista e depois multiplica o somatório resultante por ‘a’.
Para este exercício convém relembrar o functor F associado às listas: é definido como
F f = id + id x f.
(a*) . sum = sumprod a
≡ { Definição de sum e de (sumprod a)}
(a*) . ⦇[zero, add]⦈ = ⦇[zero, add . ((a*) x id)]⦈
<= { Lei fusão-cata, definição functor F das listas}
(a*) . [zero, add] = [zero, add . ((a*) x id)] . (id + (id x (a*)))
≡ { Fusão-+, Absorpção-+}
[(a*) . zero, (a*) . add] = [zero . id, add . ((a*) x id) . (id x (a*))]
≡ { Natural-id, Functor-x}
[(a*) . zero, (a*) . add] = [zero, add . ((a*) x (a*))]
≡ { Eq-+ }
(a*) . zero = zero
(a*) . add = add . ((a*) x (a*))
≡ { Lei elemento absorvente e distributividade (a*0 = 0 e a*(x+y) = a*x + a*y) }
True
