Ficha 5 | Cálculo de Programas
Exercicio 1
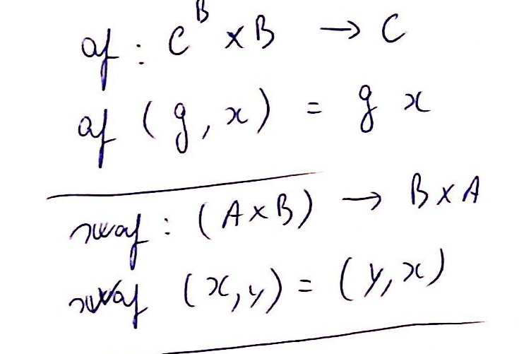
Relembrem a definição de “ap” e de “swap”:

Ou se quiserem em Haskell:
ap:: ((b->c), b) -> c
ap (f,x) = f xswap:: (a,b) -> (b,a)
swap (x,y) = (y,x)
Também será útil relembrar:
uncurry :: (a -> b -> c) -> (a,b) -> c
uncurry f (x,y) = f x ycurry :: ((a,b) -> c) -> a -> b -> c
curry f x y = f(x,y)
Então
flip f = curry ((uncurry f).swap)
<=> {33 }
ap.(flip f x id) = (uncurry f).swap
<=> { 69}
ap.(flip f x id) (x,y) = (uncurry f).swap (x,y)
<=> { 70}
ap ((flip f x id) (x,y)) = (uncurry f) (swap (x,y))
<=> { }
ap (flip f x, id y) =uncurry f (y,x)
<=> { }
flip f x y = f y x
Exercicio 2
Relembrar
in=[zero,succ] sendozero: 1 -> Nat
zero x = 0 (note que zero é equivalente à função constante (const 0))
succ: Nat -> Nat
succ x = x+1
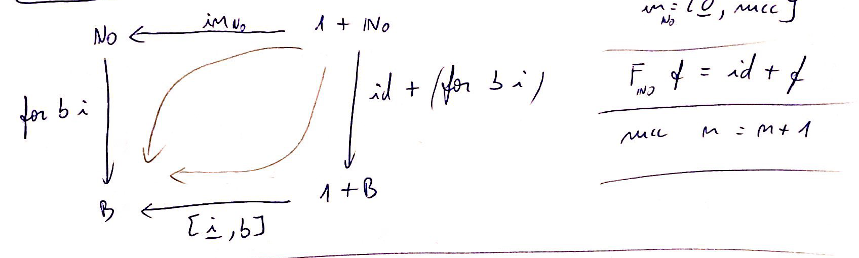
Relembrem o diagrama do combinador catamorfismo de naturais e a respectiva propriedade universal:
k=(|g|) <=> k.in=g.(id+k)
Comecemos por desenhar o diagrama do catamorfismo de naturais para for b i

Obtemos então:
for b i = (| [(const i), b] |)
E desenvolvendo
for b i = (| [(const i), b] |)
<=>{ 43 }
(for b i) . in = [(const i), b] . (id + (for b i))
<=> { def. in, 22, 1 }
(for b i) . [zero,succ] = [(const i).id, b.(for b i)]
<=> {20}
[(for b i).zero, (for b i).succ] = [(const i).id, b.(for b i)]
<=> {27}
(for b i).zero = (const i)
(for b i).succ = b.(for b i)
<=> 69, 70
(for b i) (zero ()) = (const i) ()
(for b i) (succ n) = b ((for b i) n)
<=> 72, def. succ, def. zero
for b i 0 = i
for b i (n+1) = b (for b i n)
Exercicio 3

Vamos então derivar a versão point wise a partir de
(a+) = (| [(const a), succ] |)
Temos então
(a+) = (| [(const a), succ] |)
<=>{ 43 }
(a+) . in = [(const a), succ] . (id + (a+))
<=> { def. in, 22, 1 }
(a+) . [zero,succ] = [(const a).id, succ.(a+)]
<=> {20}
[(a+).zero, (a+).succ] = [(const a).id, succ.(a+)]
<=> {27}
(a+).zero = (const a)
(a+).succ = succ.(a+)
<=>{ 69, 70}
(a+) (zero ()) = (const a) ()
(a+) (succ n) = succ ((a+) n)
<=> {72, def. succ, def. zero}
a+ 0 = a
a+ (n+1) = (a+n) + 1
Exercicio 4
Vou começar por alterar o nome da função para (a#) para facilitar a escrita.
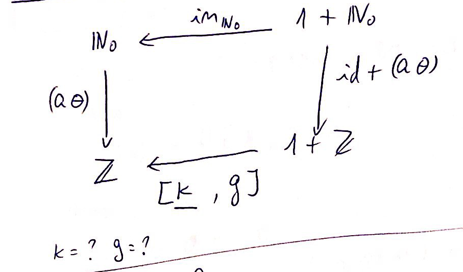
Desenhem o diagrama do catamorfismo de naturais para (a#)=(| [(const k),g] |)
Reparem que para (a#) 0 temos:
e para (a#) n temos:
Ficamos, então
a # 0 = a
a # (n+1) = (a # n) - 1
<=> {def. pred, def succ, def. zero, 72}
a # (zero ()) = (const a) ()
a # (succ n) = pred (a # n)
<=>{ 69, 70}(a#).zero = (const a)
(a #).succ = pred.(a #)
<=> {27,1}
[(a#).zero, (a#).succ] = [(const a).id, pred.(a#)]
<=> {20, 22}
(a#) . [zero,succ]= [(const a), pred] . (id + (a#))
<=> def in, F f=id+f
(a#).in = [(const a), pred] . F (a#)
<=>{ 43 }
(a#) = (| [(const a), pred] |)
k=a e g=pred
Exercicio 5
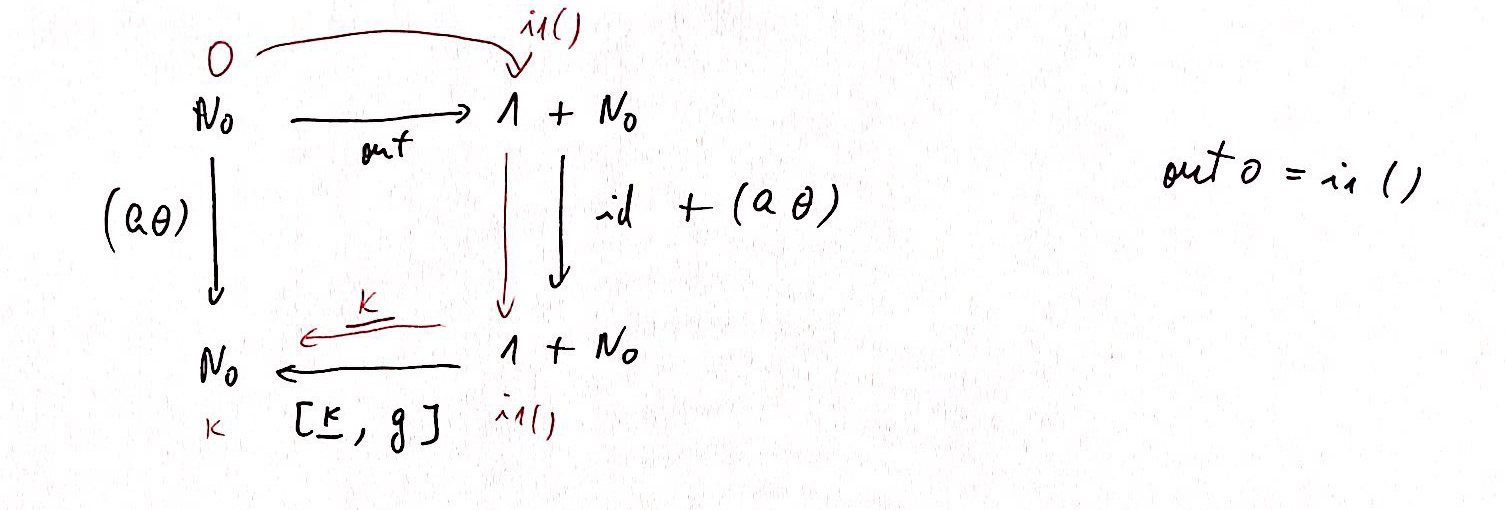
Relembre a propriedade cancelamento-cata (44) para naturais: (|g|) . in = g . (id + (|g|))
Verifique que se pode reescrever como: (|g|)= g . (id + (|g|)).out
Na aula anterior calculamos o out para naturais:
outNat 0 = i1 ()
outNat (n+1) = i2 nou de forma equivalente:outNat 0 = i1 ()
outNat n = i2 (n-1)
Use agora os combinadores estudados e codificados em Cp.hs para codificar (|g|)= g . (id + (|g|)).out
funcNat f = id -|- f
| é só usar o combinador - | - |
| Vamos agora a ( | g | )cataNat = cataNat g = g . funcNat (cataNat g) . outNat |
Codifique agora: for b i =
Temos for b i=(| [(const i), b] |). Logo:
for b i = cataNat (either (const i) b)
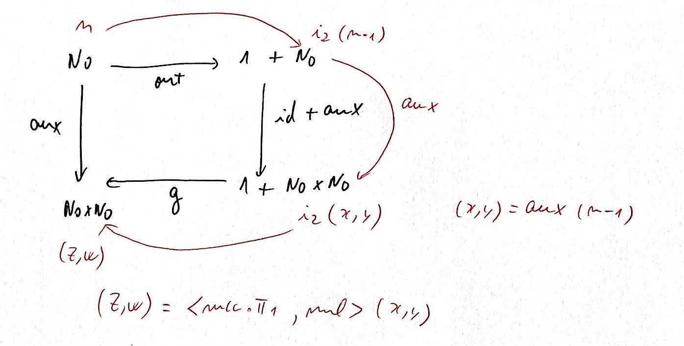
Está agora em condições de codificar:
f = p2 . aux
where aux = for (split (succ . p1) mul) (1,1)
mul (x,y) = x*y
Vamos analisar com um diagrama qual o resultado de aux 0 ?

e aux 1

f0=1 f1=1 f2=2 f3=6 …

Notas
Tirando partidos dos catamorfismos, iremos ver como lidar com recursividade de forma muito mais estruturada e compacta em relação ao que vocês tem visto na programação. Por exemplo, iremos ver que a função,
length : [a] -> Int
length [] = 0
length (x:xs) = 1 + (len xs)
se reduz a,
length :: [a] -> Int
length = cataList (either (const 0) ((1+) . p2))
e que a função que agrega listas,
flatt :: [[a]] -> [a]
flatt [] = []
flatt (x:xs) = x ++ (flatt xs)
se reduz a,
flatt :: [[a]] -> [a]
flatt = cataList (either (const []) (uncurry (++)))
E que a função que soma todos os valores em folhas de árvores,
summ :: LTree Int -> Int
summ (Leaf x) = x
summ (Fork(x,y)) = (summ x) + (summ y)
se reduz a,
summ :: LTree Int -> Int
summ = cataLTree (either id (uncurry (+)))
