Introdução a Haskell | Programação Funcional
Uma função em Haskell tem bastantes semelhaças com um função matematica.
Por exemplo:
f(x)=2x
em Haskell seria:
f x = 2 * x
Tipos
Em Haskell são muito importantes os tipos das funções, por exemplo, o tipo da
função anterior seria:
f :: Int -> Int
isto indica-nos que a função tem como input um Int (numero inteiro) e como
output outro Int.
Outros tipos importantes a saber são:
Float: Números reaisBool:FalseouTrueChar: Caracteres ('a','b', etc)[a]: Lista dea. Esta pode ser uma lista de qualquer coisa, se quisermos ser especificos podemos usar[Int]para uma lista deInts.String: Texto. Este é equivalente a escrever[Char]porque texto é apenas uma lista de caracteres.
Podemos ainda definir novos tipos. Há dois metodos para isto:
A keyword type permite definir um alias para outro tipo.
type Hora = (Int,Int)
Assim, escrever Hora ou (Int,Int) é equivalente mas o primeiro mostra alguma intenção, ou seja, uma função que receba uma Hora diz-nos que irá intrepertar o par como (Horas, Minutos).
A keyword data permite definir um novo tipo de dados
data Hora = H Int Int
Isto irá ser aprofundado mais a frente.
Operadores
Os operadores que podemos usar são os mesmos da matemática: +, -, * e / para operações aritemeticas mais os operadores lógicos:
><: maior e menor>=<=: maior ou igual e menor ou igual==: Igualdade
Estruturas de controlo
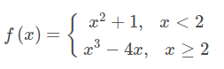
Em certas ocasiões um função pode ter de fazer um processamento mais complexo do seu input.
Por exemplo a função seguinte:

em Haskell fica
f :: Int -> Int
f x | x < 2 = x^2 + 1
| x >= 2 = x^3 - 4 * x
A isto chamam-se guardas. É possível acrescentar um caso no fim da guarda que executa caso nenhuma das condições seja satisfeita.
f :: Int -> Int
f x | x < 0 = x^2 + 1
| x == 0 = x
| otherwise = x^3
Para além destas podemos ainda usar if then else apesar de este não ser tão legivel:
f :: Int -> Int
f x = if x < 2 then x^2 + 1 else x^3 - 4 * x
Pattern matching
Podemos também tratar o input de uma função com pattern matching, por exemplo, para definir a negação lógica ( ¬ ) podemos fazer a seguinte função.
negacao :: Bool -> Bool
negacao False = True
negacao True = False
Isto quer dizer que sempre que a função recebe um False devolve um True e vice versa.
Outra forma de fazer isto é com um case:
negacao :: Bool -> Bool
negacao x = case x of
False -> True
True -> False
Pattern matching pode ser aplicado para todos os tipos de dados, como iremos ver noutros resumos.
Exemplos de funções
perimetro :: Float -> Float
perimetro r = 2 * 3.14 * r
soma :: Int -> Int -> Int
soma a b = a + b
type Hora = (Int,Int)
avancaUmaHora :: Hora -> Hora
avancaUmaHora (23,m) = (0,m)
avancaUmaHora (h,m) = (h + 1, m)
data Hora = H Int Int
avancaUmaHora :: Hora -> Hora
avancaUmaHora (H 23 m) = H 0 m
avancaUmaHora (H h m) = H (h + 1) m
Recursividade
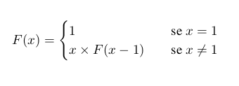
O factorial de um número é um classico exemplo de recursividade.
Sabendo que o factorial de 1 é 1 e que o factorial de 3 é igual a 3 vezes o factorial de 2:
1! = 1
3! = 3 * 2!
Podemos então definir uma função que descreve o factorial:

Esta função é recursiva, pois é definida à custa dela própria.
Como exemplo, vamos calcular o valor de F(4), como para qualquer função temos apenas de substituir F(4) pela definição.

Agora para definir-mos isto em Haskell é bastante similar:
factorial :: Int -> Int
factorial 1 = 1
factorial x = x * factorial (x - 1)
Podemos calcular o factorial de 4 com esta definição também:
factorial 4
= 4 * factorial 3
= 4 * (3 * factorial 2)
= 4 * (3 * (2 * factorial 1))
= 4 * (3 * (2 * 1))
= 4 * (3 * 2)
= 4 * 6
= 24
